Fig. 4
From: Evaluation of fasting plasma insulin and proxy measurements to assess insulin sensitivity in horses

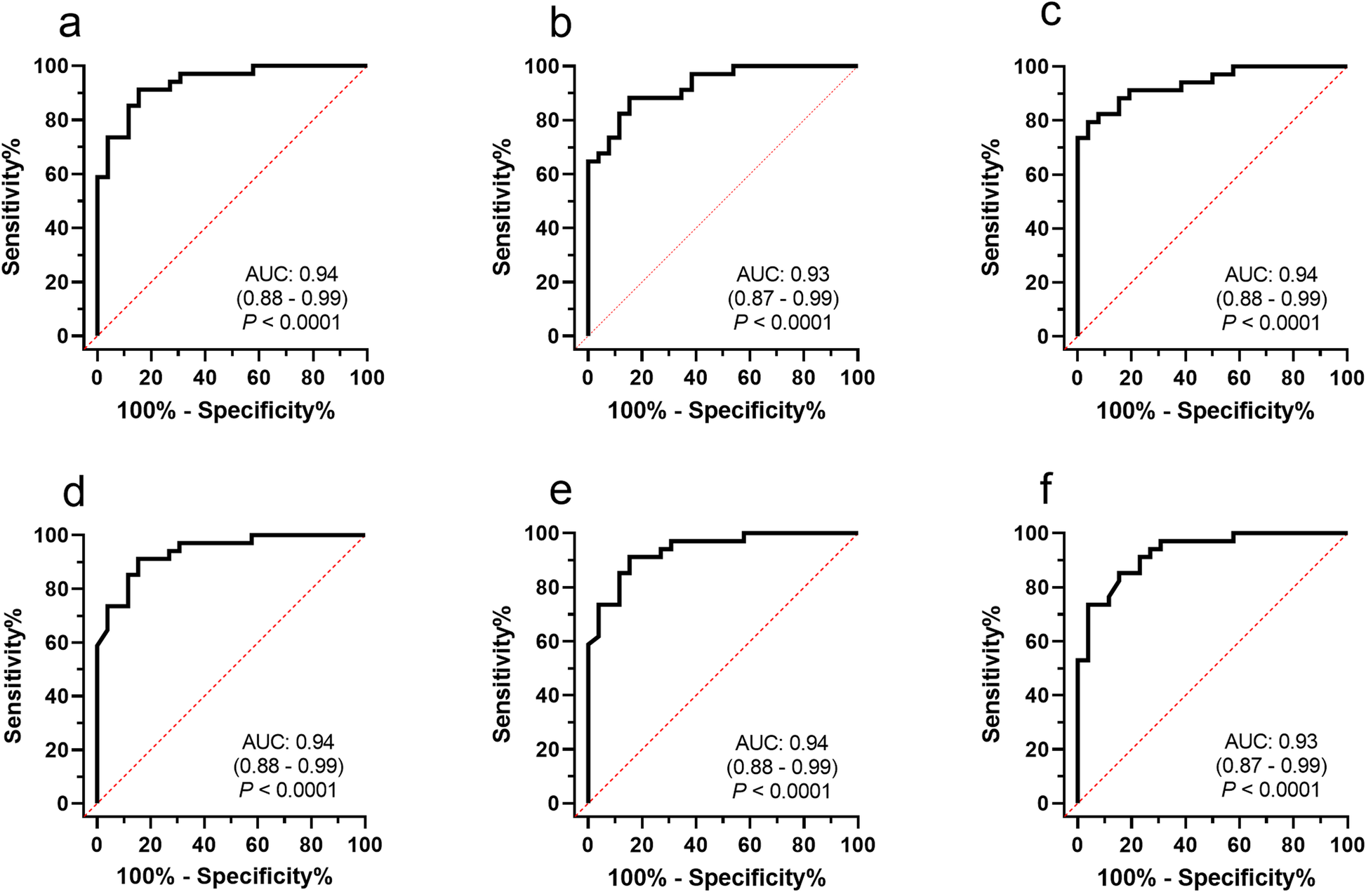
ROC curves for fasting indices for β-cell response: FI, fasting insulin concentration (a); MIRG, modified insulin-to-glucose ratio (b); HOMA-β, homeostatic model assessment of β-cell function (c) and for insulin sensitivity: 1/insulin (d); RISQI, reciprocal of the square root of insulin (e); QUICKI, quantitative insulin sensitivity check index (f) using the M index from the euglycemic hyperinsulinemic clamp as the reference. The red dotted diagonal line represents a completely uninformative test, wherein the area under the curve (AUC) is 50 %. The area under the ROC curve with confidence interval (CI), represented by the thicker line, is reported in each graph. The P value is reported for the test of the null hypothesis that the AUC equals 0.50