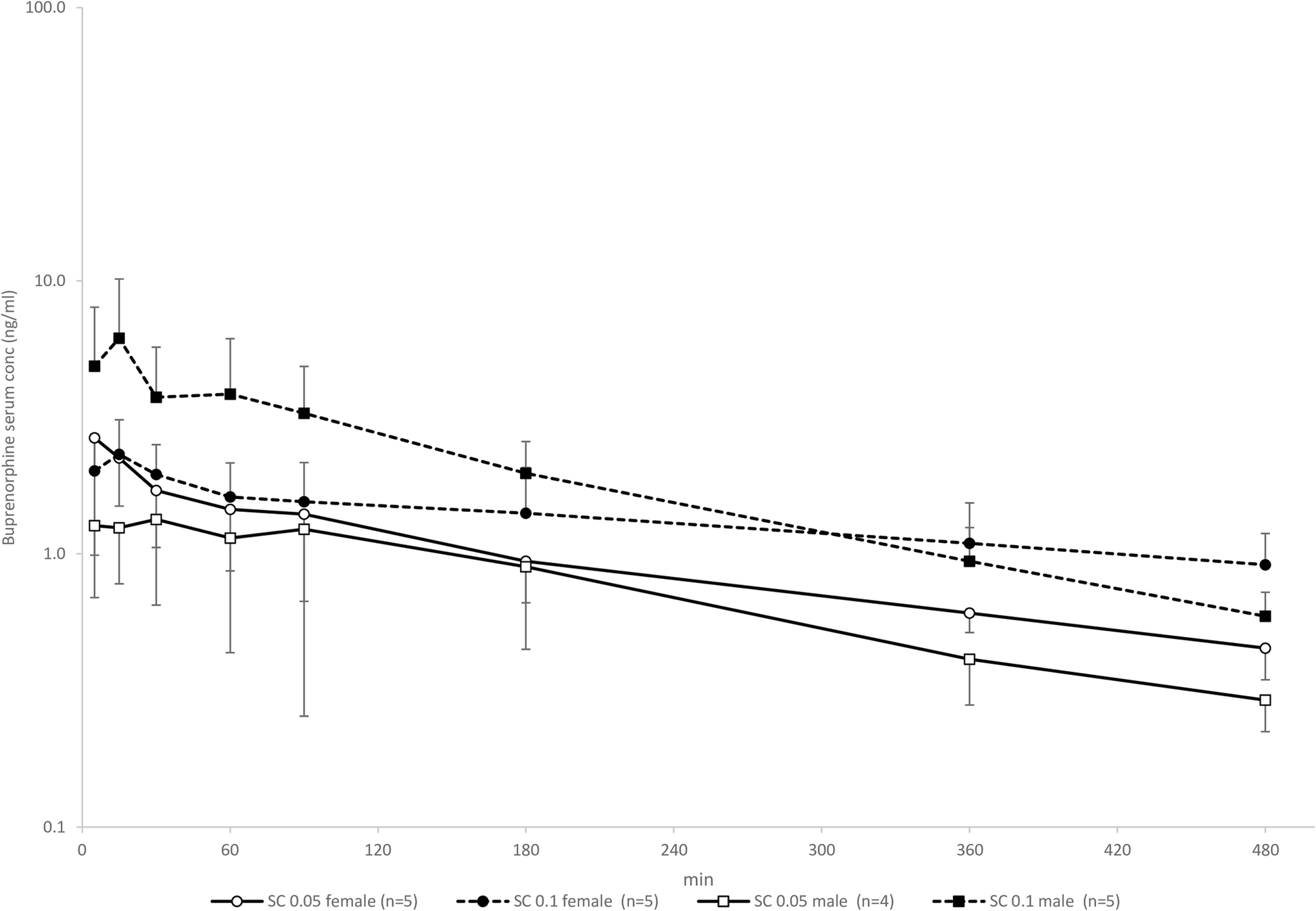
Fig. 5From: Bioavailability of subcutaneous and intramuscular administrated buprenorphine in New Zealand White rabbitsSemilogarithmic graph of buprenorphine serum concentrations in 10 NZW rabbits after administration of 0.05 and 0.1 mg/kg by the subcutaneous (SC) route (mean ± SD)Back to article page